【产品规格】
| 项 目 | 指 标 |
| 外 观 | 白色或淡黄色粉末 |
| 挥发分 %(m/m) | ≤0.5 |
| 软化点 ℃ | ≥100 |
| 灰 分 %(m/m) | ≤0.5 |
| 分 子 量 | 2000~3000 |
| 透光率,% | ≥90(425nm) |
| ≥95(500nm) |
特性和用途:
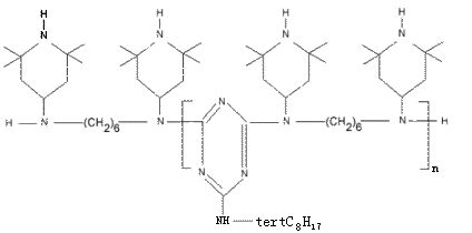
光稳定剂944为受阻胺类高分子量光稳定剂,因其分子中有多种官能团,故光稳定性能高。由于分子量大,该产品具有很好的耐热性、耐抽提性、更低的挥发性和迁移性以及良好的树脂相容性。
光稳定剂944主要适用在低密度聚乙烯薄膜、聚丙烯纤维、聚丙烯胶带、EVA薄膜、ABS、聚苯乙烯及食品包装等方面。
贮存和包装:
光稳定剂944采用25KG纸板桶内衬塑袋包装。密封干燥避光条件下储藏保存。
