江苏正泰药业有限公司
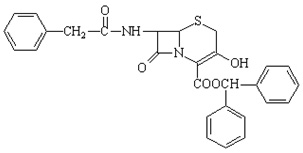
3-羟基头孢
纯度含量:≥99.0%
CAS NO:54639-48-4

中文名称

3-羟基头孢

英文名称

7-PHENYLACETAMIDE-3-HYDROXY-3-CEPHEM-4-CARBOXYLIC ACID DIPHENYLMETHYL ESTER

中文别名

7-苯乙酰氨基-3-羟基-3-头孢环-4-羧酸二苯甲酯;(6R,7R)-3-羟基-8-氧代-7-[(苯基乙酰基)氨基]-5-硫杂-1-氮杂双环[4.2.0]辛-2-烯-2-羧酸二苯基甲酯;GHYA头孢唑肟钠中间体;头孢唑肟钠中间体;3-OH

CAS RN

54639-48-4

分 子 式

C15H14N2O5S

分 子 量

334.3471

物化性质

形状  白色或类白色结晶末 
鉴别  IR,NMR 
含量 (HPLC)≥99.0% 
水份 (K.F.)≤0.5%

结构式

用  途

头孢唑肟钠中间体

产品发布日期:2026.03.20
江苏正泰药业有限公司