海门市五洋化工有限公司
还原蓝66号
CAS NO:32220-82-9
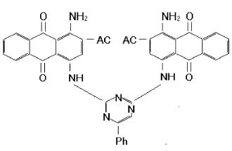
分子式:C41H27O6N7

1、分子式: C41H27O6N7
2、分子量:713(按1989 国际原子量)
3、结构式:

4、CAS NO.:32220-82-9
5、外观:蓝黑色粉末。
6、技术指标:强度100%,扩散性能3级,色光近似。
7、产品用途:主要用于棉布和丝绸的染色。
8、包装及贮运:25KG 铁桶包装,允许一般运输工具运输

产品发布日期:2016.06.02
海门市五洋化工有限公司