丙氧基化三羟甲基丙烷三丙烯酸酯
关注:2279
品牌:翁江试剂
产地:广东韶关
纯度含量:average Mn~644 / ≥99.0%
CAS NO:53879-54-2
产品别名:α-氢-ω-[(1-氧代-2-丙烯基)氧基]-聚[氧基(甲基-1,2-亚乙基)]
2-乙基-2-(羟基甲基)-1,3-丙二醇醚(3:1)
三羟甲基丙烷丙氧酯三丙烯酸酯
Trimethylolpropane propoxylate triacrylate
分子式:[H2C=CHCo2(C3H6O)NCH2]3CC2H5
CAS号
53879-54-2
分子式
[H2C=CHCo2(C3H6O)NCH2]3CC2H5
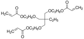
结构式

产品发布日期:2026.02.27