广东翁江化学试剂有限公司
酸式焦磷酸钠
查看原图
关注:1956
品牌:翁江试剂
产地:广东韶关
纯度含量:AR / GR
CAS NO:7758-16-9
产品别名:焦磷酸钠二元AR95.0%
焦磷酸二氢二钠
二磷酸钠二元
Disodium dihydrogen pyrophosphate
分子式:Na
2
H
2
P
2
O
7
分子量:221.94
CAS号
7758-16-9
分子式
Na
2
H
2
P
2
O
7
分子量
221.94
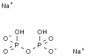
结构式
产品发布日期:2026.02.27
产品中心
公司介绍
新闻动态
技术文章
广东翁江化学试剂有限公司
登录
注册
广东翁江化学试剂有限公司
产品中心
公司介绍
新闻动态
技术文章
试剂仪器网
首页
资讯
厂商
资料
试剂
原料
仪器
设备
公司首页
在线咨询