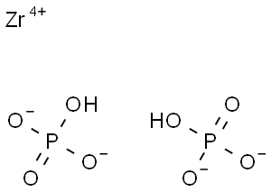
磷酸氢锆(Ⅳ)
关注:2427
品牌:翁江试剂
产地:广东韶关
纯度含量:AR98.0%
等级规格:AR
交货期:现货
CAS NO:13772-29-7
产品别名:磷酸锆
磷酸氢锆(Ⅳ)(2比1)磷酸锆
磷酸氢锆(a型)
分子式:Zr(HPo4)2
分子量:283.18
PA23203| 磷酸氢锆(Ⅳ)| 13772-29-7
| 别名 | 磷酸锆AR98.0%;磷酸氢锆(Ⅳ)(2:1) 磷酸锆:磷酸氢锆(a型) | |
| 英文名 | Zirconium(IV) Hydrogenphosphate |
| CAS号 | 13772-29-7 | 熔点 |
|
| 分子式 | Zr(HPo4)2 | 闪点 |
|
| 分子量 | 283.18 | 密度 |
|
| MDL号 |
| 储存条件 |
|
| 物化性质 |
|
产品发布日期:2026.02.27