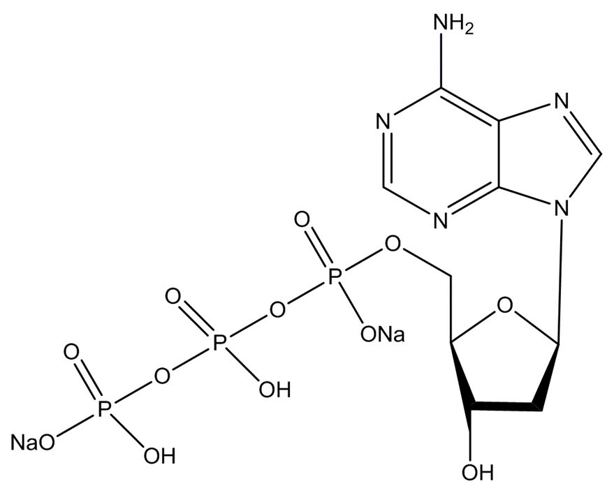
2′-脱氧腺苷-5′-三磷酸二钠盐
关注:1443
货号:PA35557
品牌:翁江试剂
产地:广东韶关
纯度含量:≥98.0%
交货期:现货
CAS NO:74299-50-6
产品别名:三磷酸脱氧腺苷钠盐
脱氧腺苷三磷酸二钠
dATP
分子式:C10H14N5O12P3Na2.3H2O
分子量:535.15
量大从优,欢迎电联,VX同号
PA35557| 2′-脱氧腺苷-5′-三磷酸二钠盐| 74299-50-6
| 别名 | 三磷酸脱氧腺苷钠盐;脱氧腺苷三磷酸二钠;dATP | |
| 英文名 | 2′-Deoxyadenosine 5′-triphosphate sodium salt |
| CAS号 | 74299-50-6 | 熔点 |
|
| 分子式 | C10H14N5O12P3Na2.3H2O | 闪点 |
|
| 分子量 | 535.15 | 密度 |
|
| MDL号 |
| 储存条件 |
|
| 物化性质 |
|
产品发布日期:2026.02.27