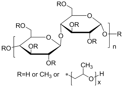
羟丙基甲基纤维素
关注:1866
品牌:翁江试剂
产地:广东韶关
纯度含量:黏度:3-5万
交货期:现货
CAS NO:9004-65-3
产品别名:羟基丙酸甲基纤维素
羟基丙基甲基纤维素
羥丙基甲基纖維素
L-HPC
羟甲基丙基纤维素
羟丙甲纤维素
分子式:(C10H18O6)N
PA08450| 羟丙基甲基纤维素| 9004-65-3
| 别名 | 羟丙基甲基纤维素;羟基丙酸甲基纤维素;羟甲基丙基纤维素;羟丙甲纤维素;羟基丙基甲基纤维素;羟基丙基甲基纤维素;羥丙基甲基纖維素;L-HPC | |
| 英文名 | Hypromellose |
| CAS号 | 9004-65-3 | 熔点 |
|
| 分子式 | (C10H18O6)N | 闪点 |
|
| 分子量 |
| 密度 |
|
| MDL号 |
| 储存条件 |
|
| 物化性质 |
|
量大从优,欢迎电联,VX同号
产品发布日期:2026.02.27