广东翁江化学试剂有限公司
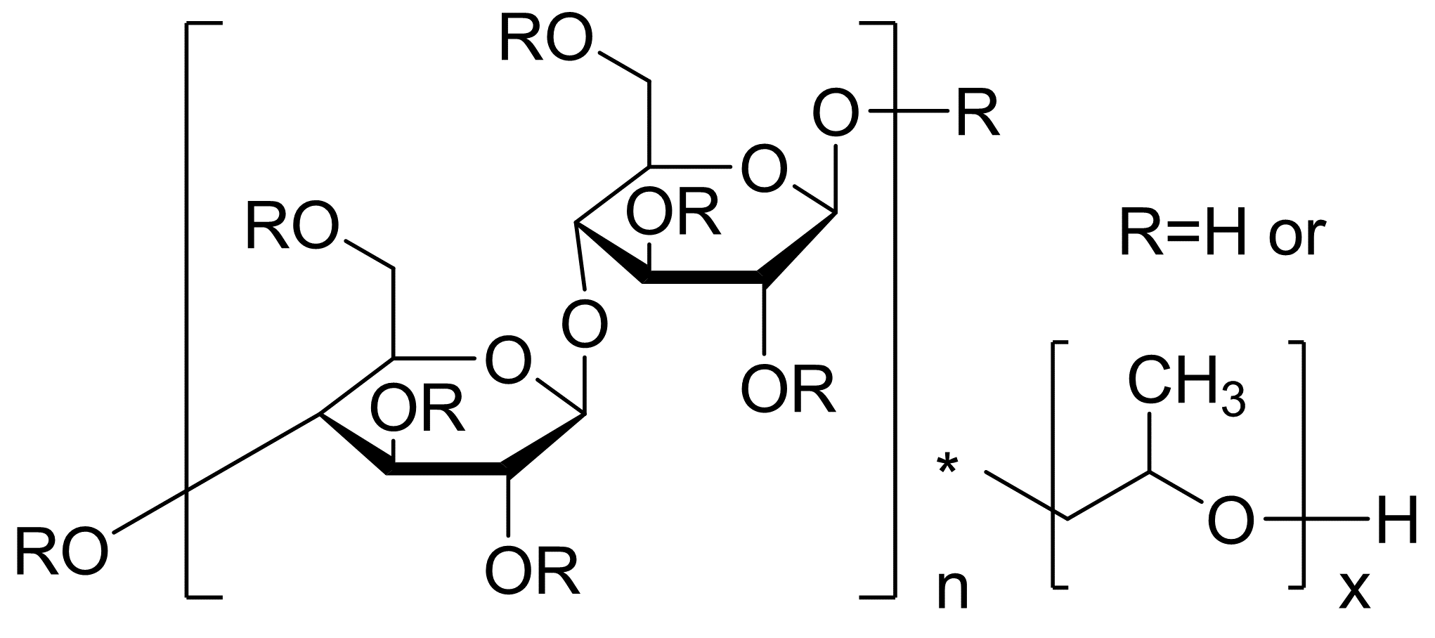
羟丙基纤维素
查看原图
关注:1714
品牌:翁江试剂
产地:广东韶关
纯度含量:高取代
交货期:现货
CAS NO:9004-64-2
产品别名:2-羟丙基醚纤维素
羟丙纤维素
Hydroxypropyl cellulose
量大从优,欢迎电联,VX同号
PA07023
|
羟丙基纤维素
|
9004-64-2
别名
羟丙基纤维素(低取代羟丙基含量:5-10%;高取代羟丙基含量:10-13%);2-羟丙基醚纤维素;羟丙基纤维;羟丙纤维素;羟丙基纤维素
英文名
Hydroxypropyl cellulose
CAS号
9004-64-2
熔点
分子式
闪点
分子量
密度
MDL号
储存条件
物化性质
产品发布日期:2026.02.27
产品中心
公司介绍
新闻动态
技术文章
广东翁江化学试剂有限公司
登录
注册
广东翁江化学试剂有限公司
产品中心
公司介绍
新闻动态
技术文章
试剂仪器网
首页
资讯
厂商
资料
试剂
原料
仪器
设备
公司首页
在线咨询