甲基三正辛铵合双(三氟甲烷磺酰)亚胺
关注:1711
品牌:翁江试剂
产地:广东韶关
纯度含量:≥99.0%
CAS NO:375395-33-8
产品别名:甲基-三辛基铵双(三氟甲基磺酰)亚胺
甲基三辛胺二(三氟甲磺酰基)亚胺
N-Methyl-N,N-dioctyloctan-1-aminium bis((trifluoromethyl)sulfonyl)amide
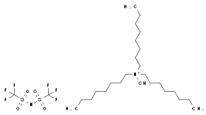
分子式:C27H54F6N2O4S2
分子量:648.85
CAS号
375395-33-8
分子式
C27H54F6N2O4S2
分子量
648.85
结构式

产品发布日期:2026.02.27