广东翁江化学试剂有限公司
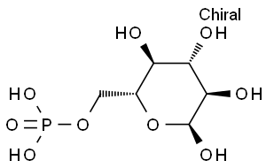
D-葡萄糖-6-磷酸
查看原图
关注:1115
品牌:翁江试剂
产地:广东韶关
纯度含量:~1 M in H2O(260 mg/ml)
CAS NO:56-73-5
产品别名:d-葡糖-6-磷酸
D-Glucose 6-Phosphate
分子式:C
6
H
13
O
9
P
分子量:260.14
CAS号
56-73-5
分子式
C
6
H
13
O
9
P
分子量
260.14
结构式
产品发布日期:2026.02.27
产品中心
公司介绍
新闻动态
技术文章
广东翁江化学试剂有限公司
登录
注册
广东翁江化学试剂有限公司
产品中心
公司介绍
新闻动态
技术文章
试剂仪器网
首页
资讯
厂商
资料
试剂
原料
仪器
设备
公司首页
在线咨询