带背景消除的漫反射光电开关O6H703
关注:2331
型号:O6H703
品牌:IFM
产地:德国
产品别名:带背景消除的漫反射光电开关O6HLFNKG
技术参数:
| 产品特征 |
|---|
| 光线种类 | 红光 |
| 通信接口 | IO-Link |
| 激光防护等级 | 1 |
| 外壳 | 矩形的 |
| 尺寸 [mm] | 35.4 x 13 x 21 |
| 应用 |
|---|
| 功能原理 | 漫反射光电开关 |
| 电气数据 |
|---|
| 工作电压 [V] | 10...30 DC |
| 电流损耗 [mA] | 16; (24 V) |
| 防护等级 | III |
| 反相保护 | 有 |
| 光线种类 | 红光 |
| 波长 [nm] | 650 |
| 输出 |
|---|
| 电气设计 | NPN |
| 输出功能 | 亮通和暗通模式; (可选) |
| 开关量输出DC电压降最大值 [V] | 2.5 |
| 开关量输出DC的持续电流负载 [mA] | 100 |
| 开关频率DC [Hz] | 1000 |
| 短路保护 | 有 |
| 短路保护类型 | 脉冲 |
| 监控范围 |
|---|
| 检测距离 [mm] | 1...100; (白纸 200 x 200 mm) |
| 白色物体的检测距离(6 %反射) [mm] | 1...100 |
| 灰色物体的检测距离:(18 %反射) [mm] | 8...100 |
| 黑色物体的检测距离(6 %反射) [mm] | 12...100 |
| 检测距离可设 | 有 |
| 光斑直径最大值 [mm] | 2 |
| 光点尺寸参考 | 在***检测距离 |
| 接口 |
|---|
| 通信接口 | IO-Link |
| 传递类型 | COM2 (38,4 kBaud) |
| IO-Link revision | 1.1 |
| SDCI标准 | IEC 61131-9 |
| 外形 | Smart Sensor: Device Identification; Device Diagnosis; Teach Channel; Switching Channel; Process Data Variable |
| SIO模式 | 有 |
| 必需的mater port type | A |
| 处理周期最小值 [ms] | 10 |
| IO-Link过程数据(周期性) | |
| IO-Link功能(非周期性) | 应用特定标签; 运行小时数计数器; 开启循环计数器 |
| 支持的DeviceID | |
| 工作条件 |
|---|
| 环境温度 [°C] | -10...60 |
| 外壳防护等级 | IP 65; IP 67 |
| 认证/测试 |
|---|
| EMC电磁兼容 | |
| 激光防护等级 | 1 |
| 激光保护注意事项 | | 注意: | 激光 | | 激光等级: | 1 | | EN / IEC60825-1:2007 | | EN / IEC60825-1:2014 | | 符合21 CFR 1040,除了根据激光通知编号的偏差 50, 2007年六月. |
|
| MTTF [年] | 513 |
| 机械技术数据 |
|---|
| 重量 [g] | 60.1 |
| 外壳 | 矩形的 |
| 尺寸 [mm] | 35.4 x 13 x 21 |
| 原材料 | 外壳: ABS; PPSU; 密封圈: EPDM |
| 透镜材料 | |
| 透镜校准 | 侧面的镜组 |
| 显示器/操作件 |
|---|
| 显示 | | 开关状态 | 1 x LED, 黄色 | | 操作 | 1 x LED, 绿色 |
|
| 注释 |
|---|
| 注释 | |
| 包装单位 | 1 件 |
| 电气连接 |
|---|
| 电缆: 2 m, PUR, 黑色, Ø 3.7 mm; 3 x 0.25 mm² |
| 图表 |
|---|
| 
| x: | 距离传感器/目标物 [mm] |
|---|
| y: | 最小的距离物体/背景 [mm] |
|---|
| 1 = | 目标 黑色(6 %反射) , 背景(白色90 %反射) |
|---|
| 2 = | 目标 灰色(18 %反射) , 背景(白色90 %反射) |
|---|
| 3 = | 目标 白色(90 %反射) , 背景(白色90 %反射) |
|---|
|
|---|
| 
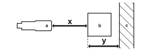
| a: | 传感器 |
|---|
| b: | 目标 |
|---|
| c: | 背景 |
|---|
| x: | 距离传感器/目标物 [mm] |
|---|
| y: | 最小的距离物体/背景 [mm] |
|---|
|
|---|
| 其他数据 |
|---|
| 可重复性/精度: 6 σ |
|---|
| 测量值的重复精度 | | | Abstand | 白色(90 %反射) | 黑色(6 %...90 %减弱) | | 20 mm | 0.1 mm | 0.5 mm | | 50 mm | 0.2 mm | 1.0 mm | | 100 mm | 0.5 mm | 2.0 mm | | | | | 精确度 | | | Abstand | 白色(90 %反射) | 黑色(6 %...90 %减弱) | | 20 mm | ± 0.6 mm | ± 0.9 mm | | 50 mm | ± 1.5 mm | ± 2.0 mm | | 100 mm | ± 3.0 mm | ± 4.0 mm | | | |
|
| 数值用于 | | | 物体的外部光线 | < 10 klx | | 恒定的环境条件 | 23 °C / 960 hPa | | 最小的启动时间(分钟) | 10 | | IO-Link - 测量模式 | |
|
产品发布日期:2026.03.20