适用范围
BN702B -40型漆膜冲击器依据GB/T4893.9标准设计制造。适用于评定家具木制件表面漆膜抗冲击的能力。
测试原理及标准
一钢制园柱形冲击块,从规定的高度沿着垂直导管跌落,冲击到放在试件表面的具有规定直经和硬度的钢球上,根据试件表面受冲击部位漆膜破坏的程度,以数字表示的等级来评定漆膜抗冲击的能力。
符合标准:GB/T4893.9
仪器特性
【仪器结构】:
BN702B-40型漆膜冲击器由:
1、工作基台,2、刻度导管,3、导管座,4、控制器,5、冲击块,6、标准钢球, 7、端盖;组成。
【试件的分类及制备】:
1、分类
试件可用一定规格的涂饰样板,亦可直接采用家具成品或家具某一部件。
2、制备
试样应平整,涂饰样板的尺寸为200×180mm。
制备试样所用的材料和表面涂饰工艺必须与成品家具的材料和表面涂饰工艺相同。试件制成后应在温度不低于15℃空气流通的环境里放置28d。
【试验操作步骤】:
1、将受试样件放在工作基台上,使所有冲击部位都处在工作基台范围内。当试样件为成品家具或家具的某一部件时,应放在刚性水平基台上,一般可放在水泥地面上即可。
2、将钢球放在受试样件上,再将冲击器底座上的孔套入钢球,使钢球处于冲击部位中心。然后将冲击块提升到规定的冲击高度,向钢球冲击,每个冲击高度各冲击五次。
3、冲击高度为控制器环进行控制。在控制器环上有一缺口,中间活动环上亦有一缺口。两缺口对正时,将冲击块顺缺口提入其内,活动中间环,使缺口错位、冲击块锁住;反之,冲击块释放。冲击高度的定标为控制器环的上端面。
4、试件冲击完毕后,移击冲击器,拿走钢珠。将试件置于光源下,用10倍放大镜检查各冲击部位的损伤程度。检查时可晃动试件,光源或改变观察角等方法,必要时,亦可将与漆膜颜色反差较大的水性差色剂涂在冲击部位,稍置片刻后,抹去试件表面残留差色剂,再进行检查
【结果评定】
评定结果时,先评出同一冲击高度的每个冲击部位的数字等级,然后取其算术平均值最接近的整数作为最终的评定结果。每个冲击部位的试验结果应由三名检验人员共同评定。评定部位的等级评定为下表及图形。
等级 | 可见变化 |
1 | 无可见变化(无损伤) |
2 | 漆膜表面无裂纹,但可见冲击印痕 |
3 | 漆膜表面有轻度的裂纹,通常有1-2个园环裂或弧裂 |
4 | 漆膜表面有中度到轻度的裂纹,通常有3-4个园环裂或弧裂 |
5 | 漆膜表面有严重的破坏,通常有5圈以上的环裂,弧裂,漆膜脱落 |

对所选用的每一个冲击高度的试验均应给出其最终评定结果。必要时可同时测量,记 录冲击部件的印痕直径印痕直径的测量方法如下
1、 仪器和材料
1.1、游标卡尺,精度0.002mm
1.2、双面兰色复印纸
1.3、定量为17±0.1g/㎡的拷贝纸
2、 试验方法
依次把双面兰色复印纸和拷贝纸平放在试件表面,然后把冲击钢珠放在拷贝纸上,再把冲击器底座上的孔套入钢珠内,按产品标所要的高度二‘将控制器锁定在一定高度上。提升冲击块,用控制环锁定冲击块(锁定方法如前所述)释放冲击块(释放方法如前所述),冲击块冲击钢球,钢球冲击试样。每个冲击高度各冲击5个部位。
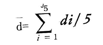
试验结束后,用游标卡尺测量留在拷贝纸上的最大印痕直径。有效值保留一位小数。同一冲击高度下的5个冲击部位印痕直径算术平均值按下式计算:

【使用注意事项】:
1、整个试验应在温度为20±2 0C,相对湿度为60~'70%的环境中进行。
2、每次试验结束后,应检查钢球是否变形,若发现有明显变形,则应予以更换。
3、各冲击部位中心离试件边沿不应小于50mm,各冲击部位中心的间距不应小于20mmo**事光采用划线的方法进行。
4、若试件表面基材带有结构纹理的,则试件的长边应顺其纹理方向。
5、用成品家具或家具某一部件作试验时,应选择刚性较好的部位。
技术参数
1、工作基台尺寸:200×250mm
2、导管刻度长:400mm 分度5mm
3、冲击块重量:500±5g
4、冲击钢球:Φ14 -0.01HRc60~66(GB308)